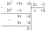
Phương pháp giải:
Thực hiện đặt phép tính chia đa thức cho đa thức.
Giải chi tiết:

Vậy \(A:B = x + 2\)
Công trình kiến trúc tiêu biểu của vương quốc Cam-pu-chia thời phong kiến là
Quốc hiệu của nước ta dưới thời Đinh – Tiền Lê là
Công trình kiến trúc tiêu biểu của vương quốc Lào thời phong kiến là
Pha Ngừm đã thành lập nước Lan Xang vào năm nào?
Người chỉ huy đoàn tham hiểm lần đầu tiên đi vòng quanh trái đất bằng đường biển là
Em hãy trình bày sự hình thành và phát triển của các vương quốc phong kiến Đông Nam Á từ nửa sau thế kỷ X đến đầu thế kỷ XVI?
Người Cam-pu-chia đã sáng tạo ra chữ viết vào thời gian nào?
Quê hương của phong trào văn hóa Phục hưng là
Bằng kiến thức đã học về cuộc kháng chiến chống quân xâm lược Tống (1075 - 1077), em hãy:
a. Chỉ ra những nét độc đáo trong cách đánh giặc của Lý Thường Kiệt?
b. Đánh giá vai trò của Lý Thường Kiệt trong cuộc kháng chiến?
Kinh đô của nước ta dưới thời Ngô là