Magie (
Mg ) phóng xạ với chu kì bán rã là T. Lúc t1, độ phóng xạ của một mẫu magie (
Mg ) là 2,4.106Bq; lúc t2 độ phóng xạ của mẫu là 8.105 Bq. Số hạt nhân đã phân rã trong khoảng thời gian từ t1 đến t2 là 13,85.108 hạt nhân. Chu kì bán rã của magie là:
T= 10 phút.
Ta có:
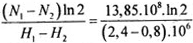
(H1 - H2) = λ (N1 - N2) =
(N1 - N2)
T = 
T = 6.102 s = 600 s = 10 phút.
Công trình kiến trúc tiêu biểu của vương quốc Lào thời phong kiến là
Người chỉ huy đoàn tham hiểm lần đầu tiên đi vòng quanh trái đất bằng đường biển là
Quốc hiệu của nước ta dưới thời Đinh – Tiền Lê là
Kinh đô của nước ta dưới thời Ngô là
Quê hương của phong trào văn hóa Phục hưng là
Bằng kiến thức đã học về cuộc kháng chiến chống quân xâm lược Tống (1075 - 1077), em hãy:
a. Chỉ ra những nét độc đáo trong cách đánh giặc của Lý Thường Kiệt?
b. Đánh giá vai trò của Lý Thường Kiệt trong cuộc kháng chiến?
Công trình kiến trúc tiêu biểu của vương quốc Cam-pu-chia thời phong kiến là
Em hãy trình bày sự hình thành và phát triển của các vương quốc phong kiến Đông Nam Á từ nửa sau thế kỷ X đến đầu thế kỷ XVI?
Người Cam-pu-chia đã sáng tạo ra chữ viết vào thời gian nào?
Pha Ngừm đã thành lập nước Lan Xang vào năm nào?