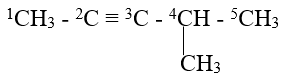
Cho ankin X có công thức cấu tạo sau: CH3C≡CCH(CH3)CH3. Tên của X là
Phương pháp giải:
Danh pháp của ankin:
*Tên thông thường = Tên gốc ankyl liên kết với nguyên tử C của liên kết ba + axetilen
*Tên thay thế (theo IUPAC): Xuất phát từ tên của ankan có cùng mạch cacbon bằng cách đổi đuôi -an thành -in. Từ C4H6 trở đi cần thêm số chỉ vị trí nguyên tử cacbon bắt đầu liên kết ba.
+ Mạch chính là mạch C dài nhất chứa liên kết ba.
+ Mạch C được đánh từ phía gần liên kết ba hơn.
Giải chi tiết:

⟹ Tên gọi: 4-metylpent-2-in.
Đáp án B
Em hãy trình bày sự hình thành và phát triển của các vương quốc phong kiến Đông Nam Á từ nửa sau thế kỷ X đến đầu thế kỷ XVI?
Công trình kiến trúc tiêu biểu của vương quốc Lào thời phong kiến là
Người Cam-pu-chia đã sáng tạo ra chữ viết vào thời gian nào?
Kinh đô của nước ta dưới thời Ngô là
Quê hương của phong trào văn hóa Phục hưng là
Công trình kiến trúc tiêu biểu của vương quốc Cam-pu-chia thời phong kiến là
Bằng kiến thức đã học về cuộc kháng chiến chống quân xâm lược Tống (1075 - 1077), em hãy:
a. Chỉ ra những nét độc đáo trong cách đánh giặc của Lý Thường Kiệt?
b. Đánh giá vai trò của Lý Thường Kiệt trong cuộc kháng chiến?
Quốc hiệu của nước ta dưới thời Đinh – Tiền Lê là
Người chỉ huy đoàn tham hiểm lần đầu tiên đi vòng quanh trái đất bằng đường biển là
Pha Ngừm đã thành lập nước Lan Xang vào năm nào?