Phương pháp giải:
X có chứa 2O, X phản ứng với NaOH theo tỉ lệ 1:2
⟹ X là este đơn chức của phenol.
X không tham gia phản ứng tráng gương
⟹ X không có đầu HCOO-
⟹ Các CTCT của X.
Giải chi tiết:
Độ bất bão hòa k = (8.2 - 8 + 2):2 = 5
X có chứa 2O, X phản ứng với NaOH theo tỉ lệ 1:2
⟹ X là este đơn chức của phenol hoặc phenol có 2 nhóm OH đính vào vòng benzen.
X không tham gia phản ứng tráng gương
⟹ X không có đầu HCOO-
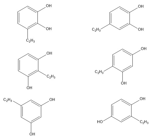
⟹ Có 7 CTCT phù hợp với X:
CH3COOC6H5

C2H3- là -CH=CH2
Người chỉ huy đoàn tham hiểm lần đầu tiên đi vòng quanh trái đất bằng đường biển là
Quê hương của phong trào văn hóa Phục hưng là
Công trình kiến trúc tiêu biểu của vương quốc Lào thời phong kiến là
Người Cam-pu-chia đã sáng tạo ra chữ viết vào thời gian nào?
Quốc hiệu của nước ta dưới thời Đinh – Tiền Lê là
Công trình kiến trúc tiêu biểu của vương quốc Cam-pu-chia thời phong kiến là
Bằng kiến thức đã học về cuộc kháng chiến chống quân xâm lược Tống (1075 - 1077), em hãy:
a. Chỉ ra những nét độc đáo trong cách đánh giặc của Lý Thường Kiệt?
b. Đánh giá vai trò của Lý Thường Kiệt trong cuộc kháng chiến?
Kinh đô của nước ta dưới thời Ngô là
Pha Ngừm đã thành lập nước Lan Xang vào năm nào?
Em hãy trình bày sự hình thành và phát triển của các vương quốc phong kiến Đông Nam Á từ nửa sau thế kỷ X đến đầu thế kỷ XVI?