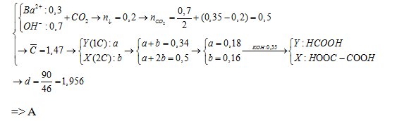
X; Y là 2 hợp chất hữu cơ, mạch hở hơn kém nhau một nguyên tử cacbon, thành phần chỉ gồm C, H, O. MX > MY. Đốt cháy hoàn toàn 0,34 mol hỗn hợp Q gồm X và Y rồi cho sản phẩm cháy hấp thụ hết vào dung dịch chứa 0,3 mol Ba(OH)2 và 0,1 mol KOH sau hấp thụ thu được 39,4 gam kết tủa. Nếu cho 0,34 mol hỗn hợp Q vào dung dịch chứa 0,35 mol KOH đến phản ứng hoàn toàn, thu được dung dịch không còn bazơ. Tỷ khối của X so với Y nhận giá trị nào sau đây ?
Lời giải chi tiết:

Xét hệ cân bằng hóa học sau xảy ra trong bình kín: C (rắn) + H2O (hơi) <-> CO (khí) + H2 (khí)
Tác động nào sau đây vào hệ (giữ nguyên các điều kiện khác) không làm chuyển dịch cân bằng?