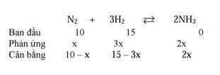
Trộn 10 lít N2 với 15 lít H2 cho vào bình phản ứng. Sau khi phản ứng đạt cân bằng thấy bình phản ứng có 22 lít hỗn hợp các khí. Các khí đo ở cùng điều kiện nhiệt độ và áp suất. Hiệu suất phản ứng là:
Giải chi tiết:

Σ V cb = 25 – 2x = 22 => x = 1,5 => H = .100% = 30%
=> A
Cho sơ đồ phản ứng:
H2
X
Y
Z
T
propan-2-ol.
Biết X, Y, Z, T đều là sản phẩm chính. Công thức cấu tạo thu gọn của X và Z lần lượt là