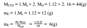
Tìm khối lượng của Cacbon trong 22g CO2
Cách giải nhanh bài tập này

Xét hệ cân bằng hóa học sau xảy ra trong bình kín: C (rắn) + H2O (hơi) <-> CO (khí) + H2 (khí)
Tác động nào sau đây vào hệ (giữ nguyên các điều kiện khác) không làm chuyển dịch cân bằng?
Cho sơ đồ phản ứng:
H2
X
Y
Z
T
propan-2-ol.
Biết X, Y, Z, T đều là sản phẩm chính. Công thức cấu tạo thu gọn của X và Z lần lượt là