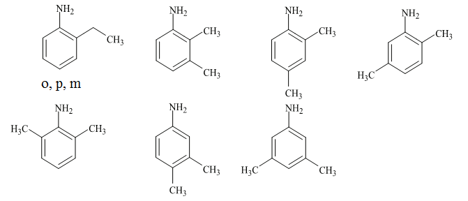
Amin X có chứa vòng benzen và có công thức phân tử là C8H11N. X có phản ứng thế H trong vòng benzen với Br2 (dd). Khi cho X tác dụng với HCl thu được muối Y có công thức dạng RNH3Cl. X có bao nhiêu công thức cấu tạo?
Cách giải nhanh bài tập này
X có phản ứng thế H trong vòng benzen với Br2 (dd) => X có chức amin thơm. X tác dụng với HCl thu được muối Y có công thức dạng RNH3Cl => X là amin bậc 1 Các CTCT thỏa mãn là:

Đáp án B
Xét hệ cân bằng hóa học sau xảy ra trong bình kín: C (rắn) + H2O (hơi) <-> CO (khí) + H2 (khí)
Tác động nào sau đây vào hệ (giữ nguyên các điều kiện khác) không làm chuyển dịch cân bằng?