Ôn đúng trọng tâm – Học chắc từ hôm nay
Hệ thống lại kiến thức lớp 10–11–12
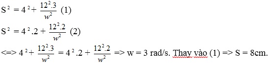
Một con lắc đơn dao động điều hòa. Biết rằng khi vật có li độ dài 4 cm thì vận tốc của nó là - 12√3 cm/s. Còn khi vật có li độ dài - 4√2 cm thì vận tốc của vật là 12√2 cm/s. Tần số góc và biên độ dài của con lắc đơn là:
Giải chi tiết:
Sử dụng công thức độc lập với thời gian ta được hệ phương trình :

=> Đáp án A