Hai chất điểm cùng xuất phát từ vị trí cân bằng, bắt đầu chuyển động theo cùng một hướng và dao động điều hòa với cùng biên độ trên trục Ox. Chu kì dao động của hai chất điểm lần lượt là
và
Tỉ số độ lớn vận tốc
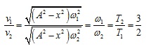
của chúng khi gặp nhau là
Lời giải chi tiết:
Đáp án D:
Hai dao động có cùng biên độ, cùng pha
Do đó :
