Ôn đúng trọng tâm – Học chắc từ hôm nay
Hệ thống lại kiến thức lớp 10–11–12
Con lắc lò xo dao động điều hòa với biên độ A, đúng lúc lò xo dãn cực đại thì người ta cố định tại điểm chính giữa của lò xo. Con lắc lò xo tiếp tục dao động điều hòa với biên độ A’. Xác định tỉ số giữa biên độ A và A’
Giải chi tiết:
Khi giữ điểm chính giữ của lò xo thì độ cứng của lò xo còn lại là:
k1l1 = kl => k1 = 2k.
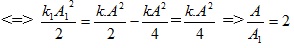
Phần thế năng bị nhốt là: W =
= .Với l2 là độ dài đoạn bị giữ.
Cơ năng còn lại : W' = W - W

=> Đáp án D.