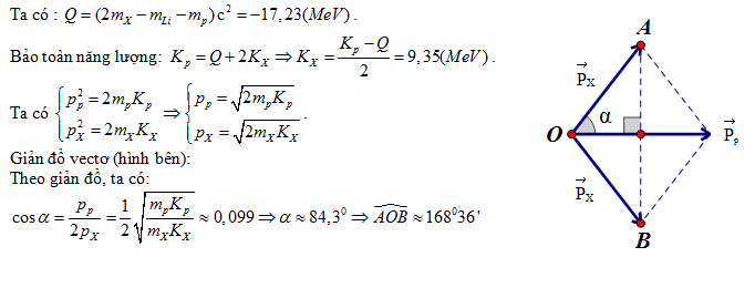
Cho hạt prôtôn có động năng KP = 1,46MeV bắn vào hạt nhân đứng yên. Hai hạt nhân X sinh ra giống nhau và có cùng động năng. Cho mLi = 7,0142u, mp = 1,0073u, mX = 4,0015u. Góc tạo bởi các vectơ vận tốc của hai hạt X sau phản ứng là:
Cách giải nhanh bài tập này
