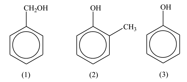
Cho các chất có công thức cấu tạo :

Chất nào không thuộc loại phenol?
Giải chi tiết:
Phenol là hợp chất hữu cơ có nhóm –OH liên kết trực tiếp với vòng benzen.
Vậy chất (2) và (3) là phenol.
Chất (1) có nhóm –OH đính vào nguyên tử cacbon no nên chất (1) là ancol thơm.
Đáp án B
Nhóm chức của ancol nói chung hay ancol etylic nói riêng (C2H5-OH) là nhóm nguyên tử (nguyên tử):