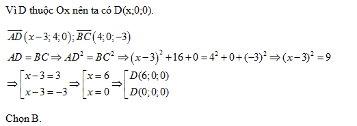
Trong không gian Oxyz cho các điểm A(3;-4;0) B(0;2;4) C(4;2;1). Tìm tọa độ điểm D trên trục Ox sao cho AD=BC.
Cách giải nhanh bài tập này

Trong không gian với hệ trục Oxyz, cho mặt phẳng (P): 2x + y + 2z + 4 = 0, đường thẳng d:
=
=
và đường thẳng ∆ là giao tuyến của hai mặt phẳng x = 1, y + z - 4 = 0. Viết phương trình mặt cầu có tâm thuộc d, đồng thời tiếp xúc với ∆ và (P) biết rằng tâm của mặt cầu có tọa độ nguyên.