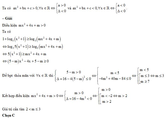
Tìm m để bất phương trình \(1 + {\log _5}\left( {{x^2} + 1} \right) \ge {\log _5}\left( {m{x^2} + 4x + m} \right)\) thoã mãn với mọi \(x \in R\) .
Giải chi tiết:

Trong không gian với hệ trục Oxyz, cho mặt phẳng (P): 2x + y + 2z + 4 = 0, đường thẳng d:
=
=
và đường thẳng ∆ là giao tuyến của hai mặt phẳng x = 1, y + z - 4 = 0. Viết phương trình mặt cầu có tâm thuộc d, đồng thời tiếp xúc với ∆ và (P) biết rằng tâm của mặt cầu có tọa độ nguyên.