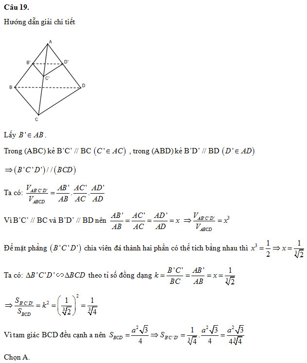
Một viên đá có dạng khối tứ diện có tất cả các cạnh bằng a. Người ta cưa viên đá theo mặt phẳng song song với đáy của khối chóp để chia viên đá thành hai phần có thể tích bằng nhau. Diện tích thiết diện viên đá bị cưa bởi mặt phẳng nói trên bằng:
Cách giải nhanh bài tập này

Trong không gian với hệ trục Oxyz, cho mặt phẳng (P): 2x + y + 2z + 4 = 0, đường thẳng d:
=
=
và đường thẳng ∆ là giao tuyến của hai mặt phẳng x = 1, y + z - 4 = 0. Viết phương trình mặt cầu có tâm thuộc d, đồng thời tiếp xúc với ∆ và (P) biết rằng tâm của mặt cầu có tọa độ nguyên.