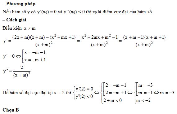
Hàm số \(y = \frac{{{x^2} + mx + 1}}{{x + m}}\) đạt cực đại tại x=2 thì m thuộc khoảng nào?
Giải chi tiết:

Trong không gian với hệ trục Oxyz, cho mặt phẳng (P): 2x + y + 2z + 4 = 0, đường thẳng d:
=
=
và đường thẳng ∆ là giao tuyến của hai mặt phẳng x = 1, y + z - 4 = 0. Viết phương trình mặt cầu có tâm thuộc d, đồng thời tiếp xúc với ∆ và (P) biết rằng tâm của mặt cầu có tọa độ nguyên.