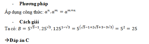
[LỜI GIẢI] 625       125       - Tự Học 365
LUYỆN TẬP TRẮC NGHIỆM 50000+ CÂU HỎI

DÀNH CHO MỌI LỚP 6 ĐẾN 12

TRUY CẬP NGAY
XEM CHI TIẾT

625       125      

625                  
                         125      

Câu hỏi

Nhận biết


Đáp án đúng: C

Lời giải của Tự Học 365

Cách giải nhanh bài tập này

Ý kiến của bạn