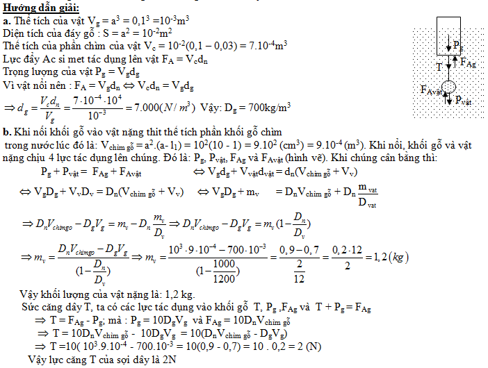
Một khối gỗ hình hộp lập phương có cạnh a = 10cm được thả vào trong nước. Phần khối gỗ nổi trên mặt nước có độ dài l0 = 3cm.
a. Tính khối lượng riêng của gỗ. Biết trọng lượng riêng của nước là dn = 10.000N/m3.
b. Nối khối gỗ vào một vật nặng có khối lượng riêng Dvat =1.200kg/m3 bằng sợi dây mảnh (có khối lượng không đáng kể) qua tâm của mặt dưới khối gỗ ta thấy phần nổi của khối gỗ có chiều dài là l1 = 1cm. Tìm khối lượng mv của vật nặng và lực căng T của sợi dây.
Giải chi tiết:
