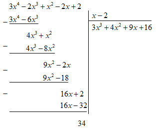
Số dư khi chia đa thức: \(3{x^4} - 2{x^3} + {x^2} - 2x + 2\) cho đa thức \(x - 2\) là:
Giải chi tiết:

Chọn B.
Tìm x biết:
\(a)\;{x^2} - 3x - 10 = 0\) \(b)\;7x\left( {3x - 2} \right) - 4 + 6x = 0\)
Rút gọn:
\(P = {{\left( {x + 1} \right)\left( {4{x^2} - 4x + 1} \right) + \left( {x - 1} \right)\left( {4{x^2} - 4x + 1} \right)} \over {\left( {x + 3} \right)\left( {x - 1} \right) - {x^2} - 1}}\) (với \(\left( {2x - 1} \right) \ne 0\) )
Rút gọn biểu thức \(A = {{\left( {9{x^2} + 12x + 4} \right).\left( {3x - 2} \right)} \over {\left( {3x + 2} \right)}}\)
Biểu thức \(C = {13^{n + 2}} - {13^n}.23\) (với n là số tự nhiên bất kì) luôn chia hết cho số tự nhiên nào dưới đây?
Tính giá trị của biểu thức \(B = \left( {x + 5} \right)\left( {x - 5} \right) - {x^2} + 7\left( {x - 5} \right)\) tại x = 1:
Cho tứ giác ABCD, lấy N, M, P, Q lần lượt là trung điểm của các cạnh AB, BC, CD, DA. Tứ giác NMPQ là hình gì?
Độ dài đường trung tuyến ứng với cạnh huyền của tam giác vuông có các cạnh góc vuông bằng 6cm, 8cm là:
Hãy chọn câu đúng. Hình bình hành ABCD là hình chữ nhật khi:
Kết quả của phép tính \(\left( {3x + 1} \right)\left( {9{x^2} - 3x + 1} \right)\) bằng:
Cho tam giác ABC vuông cân tại A, AC = 6cm, điểm M thuộc cạnh BC. Gọi D, E theo thứ tự là các chân đường vuông góc kẻ từ M đến AB, AC. Chu vi của tứ giác ADME bằng: