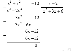
Điền vào chỗ trống: \( \left( {{x^3} + {x^2} - 12} \right): \left( {x - 2} \right) = ..... \)
Giải chi tiết:

Vậy đa thức cần điền vào chỗ trống là \({x^2} + 3x + 6\)
Chọn C.
Tính giá trị của biểu thức \(B = \left( {x + 5} \right)\left( {x - 5} \right) - {x^2} + 7\left( {x - 5} \right)\) tại x = 1:
Tìm x biết:
\(a)\;{x^2} - 3x - 10 = 0\) \(b)\;7x\left( {3x - 2} \right) - 4 + 6x = 0\)
Rút gọn biểu thức \(A = {{\left( {9{x^2} + 12x + 4} \right).\left( {3x - 2} \right)} \over {\left( {3x + 2} \right)}}\)
Biểu thức \(C = {13^{n + 2}} - {13^n}.23\) (với n là số tự nhiên bất kì) luôn chia hết cho số tự nhiên nào dưới đây?
Cho tứ giác ABCD, lấy N, M, P, Q lần lượt là trung điểm của các cạnh AB, BC, CD, DA. Tứ giác NMPQ là hình gì?
Cho tam giác ABC vuông cân tại A, AC = 6cm, điểm M thuộc cạnh BC. Gọi D, E theo thứ tự là các chân đường vuông góc kẻ từ M đến AB, AC. Chu vi của tứ giác ADME bằng:
Kết quả của phép tính \(\left( {3x + 1} \right)\left( {9{x^2} - 3x + 1} \right)\) bằng:
Rút gọn:
\(P = {{\left( {x + 1} \right)\left( {4{x^2} - 4x + 1} \right) + \left( {x - 1} \right)\left( {4{x^2} - 4x + 1} \right)} \over {\left( {x + 3} \right)\left( {x - 1} \right) - {x^2} - 1}}\) (với \(\left( {2x - 1} \right) \ne 0\) )
Độ dài đường trung tuyến ứng với cạnh huyền của tam giác vuông có các cạnh góc vuông bằng 6cm, 8cm là:
Hãy chọn câu đúng. Hình bình hành ABCD là hình chữ nhật khi: