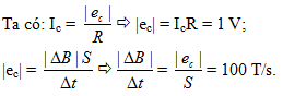
Một khung dây dẫn đặt vuông góc với một từ trường đều, cảm ứng từ B có độ lớn biến đổi theo thời gian. Tính suất điện động cảm ứng và tốc độ biến thiên của cảm ứng từ, biết rằng cường độ dòng điện cảm ứng là IC = 0,5 A, điện trở của khung là R = 2
và diện tích của khung là S = 100 cm2.
Giải chi tiết:

Đặt một hiệu điện thế U không đổi vào hai cực của bình điện phân. Xét trong cùng một khoảng thời gian, nếu kéo hai cực của bình ra xa sao cho khoảng cách giữa chúng tăng gấp 2 lần thì khối lượng chất được giải phóng ở điện cực so với lúc trước sẽ:
Khi tăng nhiệt độ của một kim loại sẽ làm tăng điện trở của kim loại này, nguyên nhân gây ra hiện hượng này là:
Hiện tượng siêu dẫn là hiện tượng khi ta hạ nhiệt độ xuống dưới giá trị nào đó thì điện trở của vật dẫn