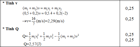
(1,0 điểm) Hai viên bi chuyển động ngược chiều nhau trên một đường thẳng, viên bi một có khối lượng 500g và có vận tốc 4m/s, viên bi hai có khối lượng 200g và có vận tốc 2m/s. Chúng va chạm và dính chặt vào nhau thành một vật. Hỏi vật ấy có vận tốc là bao nhiêu? Tính nội năng sinh ra trong quá trình va chạm.
Giải chi tiết:

Một vật chuyển động thẳng đều với vận tốc v = 2 m/ s. Và lúc t = 2 s thì vật có toạ độ x = 5 m. Phương trình toạ độ của vật là
Trên hình là đồ thị tọa độ-thời gian của một vật chuyển động
thẳng.
Cho biết kết luận nào sau đây là sai?
Một vật chuyển động thẳng không đổi chiều. Trên quãng đường AB, vật đi nửa quãng đường đầu với vận tốc v1 = 20m/s, nửa quãng đường sau vật đi với vận tốc v2 = 5m/s. Vận tốc trung bình trên cả quãng đường là:
Một vật chuyển động thẳng không đổi chiều trên 1 quãng đường dài 40m. Nửa quãng đường đầu vật đi hết thời gian t1 = 5s, nửa quãng đường sau vật đi hết thời gian t2 = 2s. Tốc độ trung bình trên cả quãng đường là:
Phương trình chuyển động của một chất điểm dọc theo trục Ox có dạng : x = 5 + 60t (x : m, t đo bằng giờ).Chất điểm đó xuất phát từ điểm nào và chuyển động với vận tốc bằng bao nhiêu ?
Một xe chuyển động thẳng không đổi chiều; 2 giờ đầu xe chạy với vận tốc trung bình 60km/h, 3 giờ sau xe chạy với vận tốc trung bình 40km/h. Vận tốc trung bình của xe trong suốt thời gian chạy là:
Phương trình của một vật chuyển động thẳng có dạng: x = -3t + 4 (m; s). Kết luận nào sau đây đúng
Một xe chuyển động thẳng không đổi chiều có vận tốc trung bình là 20Km/h trên 1/4 đoạn đường đầu và 40Km/h trên 3/4 đoạn đường còn lại. Vận tốc trung bình của xe trên cả đoạn đường là :
Một ngừơi đi xe đạp trên 2/3 đoạn đừơng đầu với vận tốc trung bình 10km/h và 1/3 đoạn đừơng sau với vận tốc trung bình 20km/h. Vận tốc trung bình của ngừơi đi xe đạp trên cả quảng đừơng là