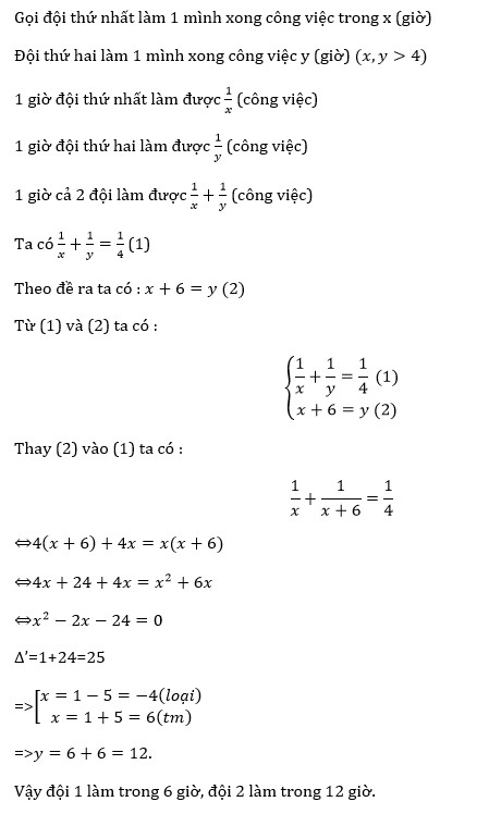
Hai đội công nhân cùng làm chung trong 4 giờ thì xong một con đường. Nếu mỗi đội làm riêng để xong con đường thì thời gian đội thứ nhất ít hơn đội thứ hai là 6 giờ. Hỏi nếu làm riêng thì mỗi đội làm xong con đường trong thời gian bao lâu?
Cách giải nhanh bài tập này
