Dành cho chương trình cơ bản
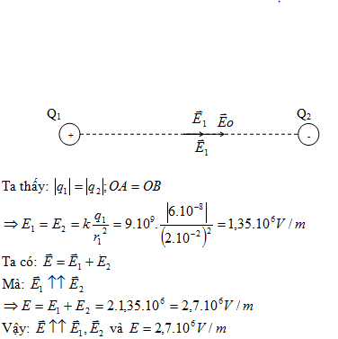
Hai điện tích q1 = 6.10-8 C, q2 = - 6.10-8 C đặt tại hai điểm A và B cách nhau một khoảng 4cm trong không khí. Xác định cường độ điện trường do q1 và q2 tác dụng lên điểm O, khi O đặt tại trung điểm của AB
Giải chi tiết:

Đặt một hiệu điện thế U không đổi vào hai cực của bình điện phân. Xét trong cùng một khoảng thời gian, nếu kéo hai cực của bình ra xa sao cho khoảng cách giữa chúng tăng gấp 2 lần thì khối lượng chất được giải phóng ở điện cực so với lúc trước sẽ:
Hiện tượng siêu dẫn là hiện tượng khi ta hạ nhiệt độ xuống dưới giá trị nào đó thì điện trở của vật dẫn