a) Một vật thả rơi từ độ cao 4,9 m xuống đất bỏ qua sức cản của không khí. Lấy gia tốc rơi tự do g = 9,8 m/s2. Vận tốc của vật trước khi chạm đất là bao nhiêu ?
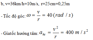
b) Một vành ngoài của bánh xe ô tô có bán kính là 25 cm. Tính tốc độ góc và gia tốc hướng tâm của 1 điểm trên vành ngoài của bánh xe khi ô tô đang chạy với tốc độ dài 36 km/h.
Giải chi tiết:


Một xe chuyển động thẳng không đổi chiều có vận tốc trung bình là 20Km/h trên 1/4 đoạn đường đầu và 40Km/h trên 3/4 đoạn đường còn lại. Vận tốc trung bình của xe trên cả đoạn đường là :
Một vật chuyển động thẳng không đổi chiều. Trên quãng đường AB, vật đi nửa quãng đường đầu với vận tốc v1 = 20m/s, nửa quãng đường sau vật đi với vận tốc v2 = 5m/s. Vận tốc trung bình trên cả quãng đường là:
Một ngừơi đi xe đạp trên 2/3 đoạn đừơng đầu với vận tốc trung bình 10km/h và 1/3 đoạn đừơng sau với vận tốc trung bình 20km/h. Vận tốc trung bình của ngừơi đi xe đạp trên cả quảng đừơng là
Một vật chuyển động thẳng đều với vận tốc v = 2 m/ s. Và lúc t = 2 s thì vật có toạ độ x = 5 m. Phương trình toạ độ của vật là
Một vật chuyển động thẳng không đổi chiều trên 1 quãng đường dài 40m. Nửa quãng đường đầu vật đi hết thời gian t1 = 5s, nửa quãng đường sau vật đi hết thời gian t2 = 2s. Tốc độ trung bình trên cả quãng đường là:
Phương trình chuyển động của một chất điểm dọc theo trục Ox có dạng : x = 5 + 60t (x : m, t đo bằng giờ).Chất điểm đó xuất phát từ điểm nào và chuyển động với vận tốc bằng bao nhiêu ?
Trên hình là đồ thị tọa độ-thời gian của một vật chuyển động
thẳng.
Cho biết kết luận nào sau đây là sai?
Phương trình của một vật chuyển động thẳng có dạng: x = -3t + 4 (m; s). Kết luận nào sau đây đúng
Một xe chuyển động thẳng không đổi chiều; 2 giờ đầu xe chạy với vận tốc trung bình 60km/h, 3 giờ sau xe chạy với vận tốc trung bình 40km/h. Vận tốc trung bình của xe trong suốt thời gian chạy là: